« Sessional Papers, 1st Parliament, 1st Session

Sessional Papers, 1st Parliament, 1st Session : vol. 1

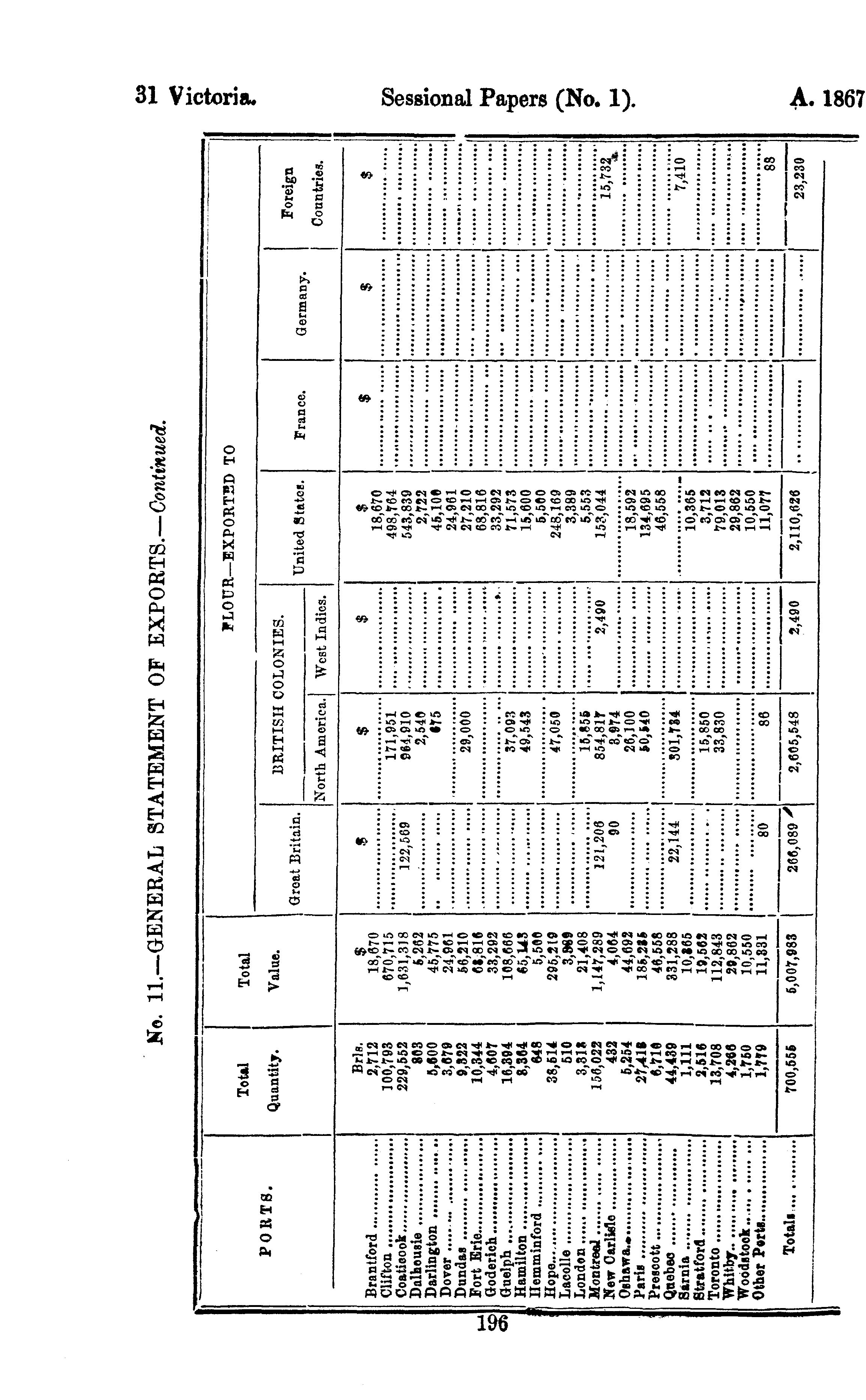
This digital collection contains images of historical texts. Alternative text is not available for these images.

For help please see our documentation

Help [Ottawa : Hunter, Rose, 1868]; 675 images with full-text search

Document Record

Language
English
Prime Minister(s)
Macdonald, John Alexander
Document source
Library and Archives Canada
Persistent URL
https://n2t.net/ark:/69429/m0mc8rb6w942